#安装包
#install.packages("tidyverse")
#install.packages("dendextend")
#install.packages("cluster")
#install.packages("purrr")
#install.packages("readr")
#install.packages("readxl")4 聚类分析习题答案
P75, textbook ex4.1
将ex4.1.csv另存为ex4.1.xlsx,再导入。
#导入数据
library(readxl)
library(tidyverse)
ex4_1 <- read_excel("ex4.1.xlsx") %>% as.data.frame()
#给数据框添加行名
rownames(ex4_1) <- ex4_1$brand
# Agglomerative Nesting (Hierarchical Clustering)
# 加载包cluster
library(cluster)
ex4_1.hc <- agnes(ex4_1, # 数据框
                     stand = TRUE, # 对变量进行标准化变换
                     metric = "euclidean", # 个案之间的距离测度
                     method = "ward" # 类间距离定义
)
#查看聚类模型
ex4_1.hcCall:    agnes(x = ex4_1, metric = "euclidean", stand = TRUE, method = "ward") 
Agglomerative coefficient:  0.8360097 
Order of objects:
 [1] Budweiser     Coors         Hamms         Heilemans-old Coorslicht   
 [6] Ionenbrau     Michelos-lich Aucsberger    Schlitz       Strchs-bohemi
[11] Old-milnaukee Kronensourc   Heineken      Kkirin        Secrs        
[16] Miller-lite   Schlite-light Sudeiser-lich Pabst-extral  Olympia-gold 
Height (summary):
   Min. 1st Qu.  Median    Mean 3rd Qu.    Max. 
 0.6316  1.4611  2.1845  3.1149  3.6032 10.7767 
Available components:
[1] "order"     "height"    "ac"        "merge"     "diss"      "call"     
[7] "method"    "order.lab" "data"     
#查看agglomerative coefficient聚合系数,越接近于1,代表聚类结构越强
ex4_1.hc$ac[1] 0.8360097
#保存聚类结果
ex4_1$cluster <- cutree(ex4_1.hc, k=3)#绘制树状图dendrogram
# install.package("factoextra")
library(factoextra)
fviz_dend(ex4_1.hc)
fviz_dend(ex4_1.hc, k= 3, cex = 0.6)
# 自定义树状图分支及标签颜色、字体、添加矩形框
fviz_dend(ex4_1.hc, 
          k = 3, # 分三类
          cex = 0.7, # 标签字体
          k_colors = c(4,5,6),#分支颜色
          color_labels_by_k = TRUE, # 标签上色
          rect = TRUE, # 添加矩形框 
          rect_fill = TRUE, #矩形框底色
          lower_rect = -6, #矩形框下沿
          lwd = 1.2, #线条宽度
          ggtheme = theme_minimal() #主题色
)
# 圆形树状图
fviz_dend(ex4_1.hc, 
          k = 3, # 分三类
          cex = 0.5, # 标签字体
          k_colors = c(4,5,6),#分支颜色
          color_labels_by_k = TRUE, # 标签上色
          lwd = 1.2, #线条宽度
          type = "circular", #圆形
          ggtheme = theme_gray() #主题
)
# 支流树状图
fviz_dend(ex4_1.hc, 
          k = 3, # 分三类
          cex = 0.7, # 标签字体
          k_colors = c(4,5,6),#分支颜色
          color_labels_by_k = TRUE, # 标签上色
          type = "phylogenic", # 支流
          ggtheme = theme_bw() #主题
)
dend.ward <- ex4_1 %>% 
  select(热量:价格) %>% 
  scale() %>% 
  dist() %>% 
  hclust("ward.D")%>% 
  as.dendrogram()
dend.average <- ex4_1 %>% 
  select(热量:价格) %>% 
  scale() %>% 
  dist() %>% 
  hclust("average") %>% 
  as.dendrogram() library(dendextend)
tanglegram(dend.ward,dend.average,
           k_labels = 3,
           k_branches = 3,
           main_left = "ward.D linkage",
           main_right = "average linkage",
           sort = T,
           margin_inner = 6,
           type = "t",
           highlight_distinct_edges = F,
           highlight_branches_lwd = F,
           main = paste("entanglement =", 
                        round(entanglement(
                          dend.ward,dend.average), 2)),
           cex_main = 1.2
)
#完全一致的分类结果,缠绕系数等于0
dend.ward2 <- ex4_1 %>% 
  select(热量:价格) %>% 
  scale() %>% 
  dist() %>% 
  hclust("ward.D2") %>% 
  as.dendrogram() 
tanglegram(dend.ward,dend.ward2,
           k_labels = 3,
           k_branches = 3,
           main_left = "Ward.D Linkage",
           main_right = "Ward.D2 Linkage",
           margin_inner = 6,
           highlight_distinct_edges = F,
           highlight_branches_lwd = F,
           main = paste("entanglement =", 
                        round(entanglement(
                          dend.ward,dend.ward2,), 2)),
           cex_main = 1.2
)
P75, textbook ex4.3
#避免ex4.3.csv导入时汉字会变乱码的问题
#在Excel中将教材配套的ex4.3.csv另存为ex4.3.xlsx
#导入"ex4.3.xlsx"文件
library(readxl)
library(tidyverse)
ex4_3 <- read_excel("ex4.3.xlsx") %>% 
  as.data.frame() %>% #保存为数据框
  rename(city = ...1, so2 = x1, no2 = x2, pm10 = x3,
         co = x4, o3 = x5, pm2.5 = x6, good = x7)New names:
• `` -> `...1`
#创建数据框elbow, 9行2列,列名分别为k和tot_withinss
#用于存放分类数k,分2-10类
#以及within-group sum of squares(tot_withinss),组内平方和
#用于绘制elbow plot, tot_withinss下降最快处,即K值
elbow <- data.frame(matrix(ncol = 2, nrow = 9))
colnames(elbow) <- c('k', 'tot_withinss')
#K均值聚类,k= 2,3,4,5,6,..10
for (i in (2:10)) {
  ex4_3_kmeans <- 
    ex4_3 %>%
    select(so2:good) %>% 
    scale() %>% 
    kmeans(centers = i)
  ex4_3[, paste0("cluster",i)] <- ex4_3_kmeans$cluster
  print(paste("Number of Clusters:", i))
  print(ex4_3_kmeans$tot.withinss)
  print(table(ex4_3_kmeans$cluster))
  elbow[i-1,1] <- i
  elbow[i-1,2] <- ex4_3_kmeans$tot.withinss
}[1] "Number of Clusters: 2"
[1] 425.6854
 1  2 
65 48 
[1] "Number of Clusters: 3"
[1] 307.9599
 1  2  3 
56 22 35 
[1] "Number of Clusters: 4"
[1] 258.7375
 1  2  3  4 
44 27 17 25 
[1] "Number of Clusters: 5"
[1] 222.7558
 1  2  3  4  5 
26 22 32 16 17 
[1] "Number of Clusters: 6"
[1] 195.3154
 1  2  3  4  5  6 
26 15 18 26 11 17 
[1] "Number of Clusters: 7"
[1] 182.1412
 1  2  3  4  5  6  7 
20 28  7  7 25 10 16 
[1] "Number of Clusters: 8"
[1] 171.5312
 1  2  3  4  5  6  7  8 
11 20 16 16 18  9 12 11 
[1] "Number of Clusters: 9"
[1] 157.6378
 1  2  3  4  5  6  7  8  9 
16 17 10  5 20  6 16  5 18 
[1] "Number of Clusters: 10"
[1] 148.2836
 1  2  3  4  5  6  7  8  9 10 
10 10  7 17 13  8 15  6  6 21 
# Plot the elbow plot
ggplot(elbow, aes(k, tot_withinss)) +
  geom_line() +
  scale_x_continuous(breaks = 1:10)
#分3类
table(ex4_3$cluster3)
 1  2  3 
56 22 35 
#列出每组有哪些城市
for (i in 1:3) {
  print(ex4_3$city[ex4_3$cluster3 == i]) 
} [1] "北京"     "秦皇岛"   "大同"     "呼和浩特" "包头"     "沈阳"    
 [7] "鞍山"     "抚顺"     "锦州"     "长春"     "吉林"     "哈尔滨"  
[13] "上海"     "南京"     "无锡"     "常州"     "苏州"     "南通"    
[19] "连云港"   "扬州"     "镇江"     "杭州"     "湖州"     "绍兴"    
[25] "合肥"     "芜湖"     "马鞍山"   "南昌"     "青岛"     "枣庄"    
[31] "潍坊"     "济宁"     "日照"     "开封"     "三门峡"   "武汉"    
[37] "宜昌"     "荆州"     "长沙"     "株洲"     "湘潭"     "广州"    
[43] "重庆"     "成都"     "自贡"     "泸州"     "德阳"     "南充"    
[49] "宜宾"     "铜川"     "宝鸡"     "延安"     "兰州"     "西宁"    
[55] "石嘴山"   "乌鲁木齐"
 [1] "天津"   "石家庄" "唐山"   "邯郸"   "保定"   "太原"   "阳泉"   "长治"  
 [9] "临汾"   "徐州"   "济南"   "淄博"   "泰安"   "郑州"   "洛阳"   "平顶山"
[17] "安阳"   "焦作"   "西安"   "咸阳"   "渭南"   "银川"  
 [1] "赤峰"     "大连"     "本溪"     "齐齐哈尔" "牡丹江"   "宁波"    
 [7] "温州"     "福州"     "厦门"     "泉州"     "九江"     "烟台"    
[13] "岳阳"     "常德"     "张家界"   "韶关"     "深圳"     "珠海"    
[19] "汕头"     "湛江"     "南宁"     "柳州"     "桂林"     "北海"    
[25] "海口"     "攀枝花"   "绵阳"     "贵阳"     "遵义"     "昆明"    
[31] "曲靖"     "玉溪"     "拉萨"     "金昌"     "克拉玛依"
clusterdf <- data.frame(matrix(ncol = 2, nrow = 3))
colnames(clusterdf) <- c('cluster', 'area')
for(i in 1:3){
  clusterdf[i,1] = i
  clusterdf[i,2] = 
    paste(ex4_3$city[ex4_3$cluster3 == i],collapse = ",")
}
clusterdf %>% 
  as_tibble() %>% 
  view()#计算各组污染指标的均值
ex4_3 %>% 
  select(so2:good, cluster3) %>% 
  group_by(cluster3) %>% 
  summarise_all(list(mean)) %>% 
  arrange(desc(good)) #descending# A tibble: 3 × 8
  cluster3   so2   no2  pm10    co    o3 pm2.5  good
     <int> <dbl> <dbl> <dbl> <dbl> <dbl> <dbl> <dbl>
1        3  14.2  26.5  58.7  1.37  135.  34.2  329.
2        1  19.8  40.6  83.9  1.80  163.  49.4  257.
3        2  32.9  48.3 122.   2.81  196.  69.2  176.
#绘制各组污染指标的箱线图
for(i in 2:8){
  print(
    ggplot(ex4_3, aes(ex4_3[,i], col = 1,
                      fill = factor(cluster3)))+
      geom_boxplot()+
      facet_wrap(~cluster3,ncol = 1)+
      labs(x = colnames(ex4_3)[i]))
  Sys.sleep(1) #图片切换的时长
}






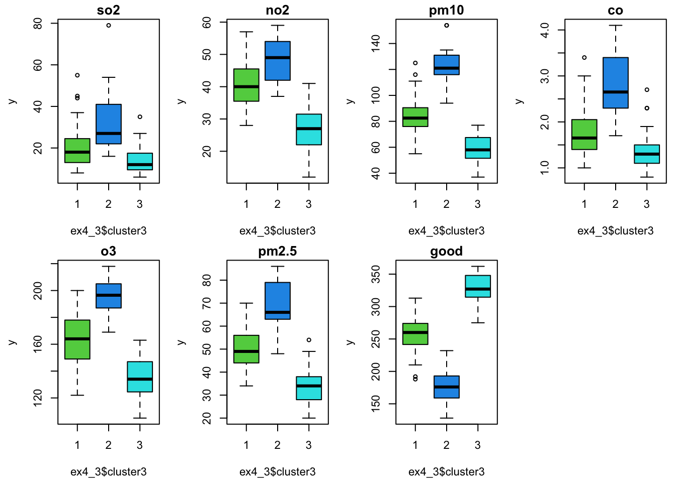
par(mfrow = c(2,4),mai = c(0.6,0.6,0.2,0.1),cex = 0.7)
for (i in 2:8) {
  y <- ex4_3[[i]]
  boxplot(y ~ ex4_3$cluster3, col = c(3,4,5),
          main = colnames(ex4_3)[i])
}
#绘制各组污染指标的直方图
for(i in 2:8){
  print(
    ggplot(ex4_3, aes(ex4_3[,i], col = 1,
                      fill = factor(cluster3)))+
      geom_histogram()+
      facet_wrap(~cluster3,ncol = 1)+
      labs(x = colnames(ex4_3)[i]))
  Sys.sleep(1)
}`stat_bin()` using `bins = 30`. Pick better value `binwidth`.

`stat_bin()` using `bins = 30`. Pick better value `binwidth`.

`stat_bin()` using `bins = 30`. Pick better value `binwidth`.

`stat_bin()` using `bins = 30`. Pick better value `binwidth`.

`stat_bin()` using `bins = 30`. Pick better value `binwidth`.

`stat_bin()` using `bins = 30`. Pick better value `binwidth`.

`stat_bin()` using `bins = 30`. Pick better value `binwidth`.

 点击下载数据文件: ex4.1.xlsx