2024-09-27
8.1 抽样分布
8.2 样本均值的抽样分布
8.3 样本比例的抽样分布
8.1.1 参数和统计量
8.1.2 抽样分布的定义
参数(parameter)描述的是总体的分布特征。
统计量(statistic)描述的是样本的分布特征。
抽样分布(Sampling Distribution)是指样本统计量的分布。
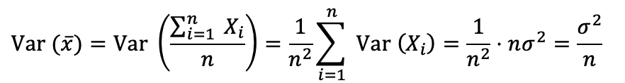
8.2.1 样本均值的期望和方差
8.2.2 样本均值的分布形状
8.2.3 实践应用


图8.3 总体服从正态分布,样本均值(n = 5)的直方图
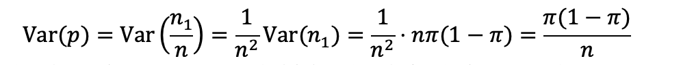
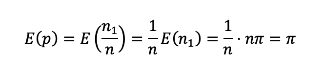
8.3.1 样本比例的期望和方差
8.3.2 样本比例的分布形状
8.3.3 实践应用

