2024-09-27
7.1 关键概念
7.2 均匀分布
7.3 正态分布
7.4 卡方分布
7.5 t分布
7.6 F分布
7.7 指数分布
7.1.1 连续型随机变量
7.1.2 概率密度函数
7.1.3 累积分布函数
7.1.4 连续型随机变量的期望和方差
连续型随机变量是指随机变量在一定范围内可以取无限多个值,无法一一列举其取值。

均匀分布的概率密度函数
均匀分布的累积分布函数
均匀分布的期望和方差
正态分布的概率密度函数 
7.3.1 正态分布的性质
7.3.2 Excel绘制正态分布的PDF和CDF
7.3.3 正态分布的应用
图7.3 均值相同,标准差不同的正态分布概率密度曲线
在NORM.DIST函数中,将最后一项参数设置为“FALSE”,计算正态分布的概率密度函数的值;最后一项参数设置为“TRUE”,计算正态分布的累积分布函数的值,即服从正态分布的随机变量小于等于指定值的概率。
在NORM.S.DIST函数中,将最后一项参数设置为“FALSE”,计算标准正态分布概率密度函数的值;最后一项参数设置为“TRUE”,计算标准正态分布的累积分布函数的值,即服从标准正态分布的随机变量小于等于指定值的概率。
图7. 9 正态分布的PDF和CDF曲线
诊断数据中是否存在异常值
计算服从正态分布的随机变量落在特定区间的概率
给定服从正态分布的随机变量落在某个区间的概率,求该区间。
诊断数据是否服从正态分布
NORM.INV函数适用于普通的正态分布,有三项参数,依次是左尾概率1-α、均值μ和标准差σ,可以求出正态分布N(μ,σ^2 )的上α分位点。
NORM.S.INV函数只适用于标准正态分布,给定左尾概率1-α,可以求出标准正态分布的上α分位点。
7.4.1 卡方分布的性质
7.4.2 EXCEL绘制卡方分布的PDF和CDF
7.4.3 卡方分布的应用
图7.17 服从χ^2 (20)的500个随机数的直方图
总体方差的置信区间的构造
总体方差的参数检验
独立性检验
7.5.1 t分布的性质
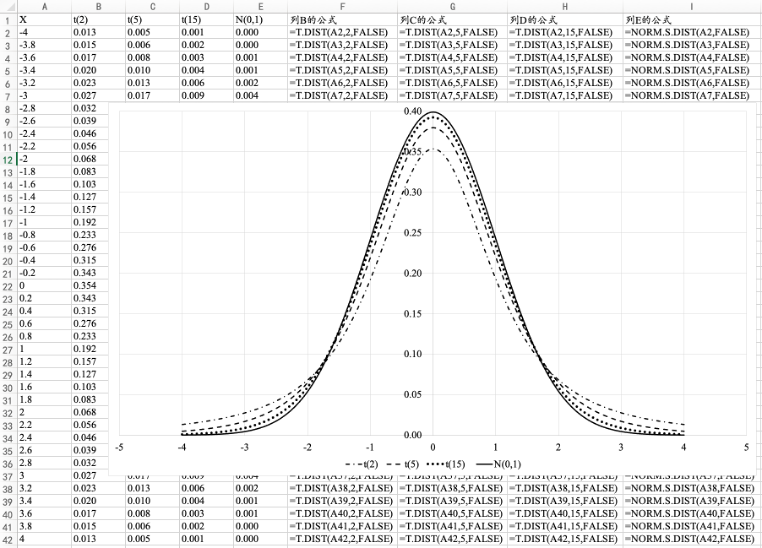
7.5.2 EXCEL绘制t分布的PDF和CDF
7.5.3 t分布的应用
图7.23 t(2)、t(5)、t(15)和N(0,1)的概率密度曲线
总体均值的置信区间的构造
总体均值的参数检验
两个总体均值的参数检验
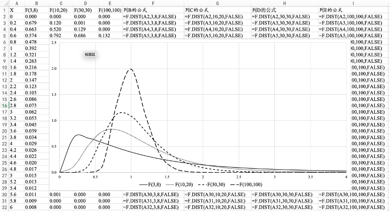
7.6.1 F分布的性质
7.6.2 EXCEL绘制F分布的PDF和CDF
7.6.3 F分布的应用
图7.27 F(3,8)、F(10,20)、F(30,30)、F(100,1000)的概率密度曲线
两个总体的方差比的检验
方差分析
7.7.1 指数分布的性质
7.7.2 EXCEL绘制指数分布的PDF和CDF
7.7.3 指数分布的应用
图7.29 “Exp”(5)、“Exp”(2)、“Exp”(1)、“Exp”(0.2)的概率密度曲线
排队问题
到银行柜台办理业务的顾客到达的时间间隔的分布
急救中心收到的呼救电话的时间间隔的分布
