2024-09-27
6.1 关键概念
6.2 二项分布
6.3 泊松分布
6.1.1 离散型随机变量
6.1.2 概率质量函数
6.1.3 累积概率分布函数
6.1.4 离散型随机变量的期望和方差
离散型随机变量的取值通常表现为整数。
随机变量的取值并不直接表现为数值,例如餐厅顾客的性别,其结果为男性或女性,但可将男性赋值为1,女性赋值为0,将文本类型的取值转换为一个数值代码,此类随机变量也是离散型随机变量。
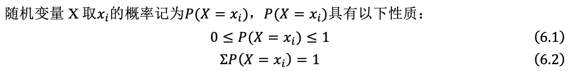
概率质量函数(Probability Mass Function,简称PMF),描述了离散型随机变量取特定数值的概率。
累积概率分布函数(Cumulative Probability Distribution Functiaon, 简称CDF。
累积概率分布函数
期望的计算式
方差的计算式
6.2.1 二项分布的性质
6.2.2 Excel计算二项分布的取值概率
6.2.3 Excel绘制二项分布的图像
二项分布的假定
二项分布的概率质量函数
二项分布的期望和方差
6.3.1 泊松分布的性质
6.3.2 泊松分布与二项分布的关系
6.3.3 Excel计算泊松分布的取值概率
6.3.4 Excel绘制泊松分布的图像
泊松分布的假定
泊松分布的概率质量函数
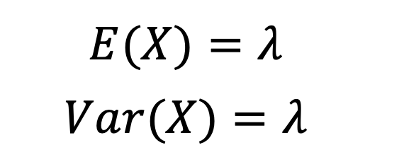
泊松分布的期望和方差
泊松分布的应用场景
图6.9 Poisson(4)和Poisson(10)的概率质量函数图像
