2024-09-27
14.1两个定性变量的关系
14.2两个定量变量的关系
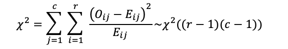
14.1.1 独立性检验
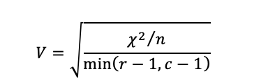
14.1.2 Cramer’s V系数
14.1.3 Kendall’s W系数
在独立性检验中,首先,在两个变量相互独立的假定下计算期望频数。
然后将观测频数与期望频数对比.
若二者差距较小,则说明两个变量相互独立;若二者差距很大,则说明两个变量不独立。
图14.1 独立性检验的计算过程
实操技巧
计算期望频数时只需录入左上角单元格的公式,恰当使用绝对引用符号$,然后拖曳单元格填充柄,实现自动计算。
CHISQ.TEST函数可以计算独立性检验的p值,第1项参数是观测频数,第2项参数是期望频数。
若p值小于显著性水平∝,则拒绝“行变量和列变量相互独立”的原假设。
图14.3 Cramer’s V系数的计算过程
Kendall’s W 系数又称作Kdendall一致系数( Kendall’s Coefficient of Concordance),是一个非参数统计量,用于评估不同个体的主观态度或者评价是否一致。
Kendall’s W系数的值介于0到1之间,等于0时代表态度完全不一致,等于0代表态度完全一致。
图14.4 Kendall’s W 系数的计算过程
实操技巧
DEVSQ函数可以计算每个观测值与均值的离差平方和。
对Kendall’s W 系数进行显著性检验时,利用CHISQ.DIST.RT函数可以计算p值。若p值小于显著性水平,则拒绝“不同个体的主观评价是一致的”的原假设。
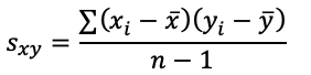
14.2.1 协方差
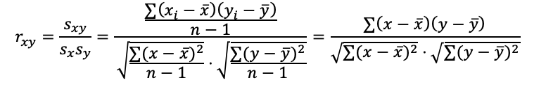
14.2.2 皮尔逊相关系数
14.2.3 斯皮尔曼秩相关系数
图14.7 协方差的符号的含义
皮尔逊相关系数(Pearson Correlation Coefficient)也称作皮尔逊积矩相关系数(Pearson Product-moment Coefficient)
可以测度两个连续型定量变量之间的线性相关关系。
实操技巧
CORREL函数和PEARSON函数计算皮尔逊相关系数,第1项参数和第2项参数分别是两组数据区域,中间用逗号分隔。
单击“数据” →“数据分析” →“相关系数”,可以报告相关系数矩阵,矩阵对角线上的元素是1,非对角线上的元素是总体协方差。
图14.13 斯皮尔曼秩相关系数的计算和检验
实操技巧
RANK.AVG函数可以计算观测值的秩。
