2024-09-27
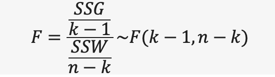
12.1多个总体均值是否相等的检验:方差分析
12.2单因素方差分析在Excel中的实现
12.3 无重复双因素方差分析在Excel中的实现
12.4 可重复双因素方差分析在Excel中的实现
12.5 多个总体的方差齐性检验
表12.1 方差分析的数据结构
图12. 1 方差分析的拒绝域和p值
图12.3 “方差分析:单因素方差分析”的对话框和输出结果
实操技巧
调用“数据分析”加载项中的“方差分析:单因素方差分析”可以进行单因素方差分析,若P-value下方报告的p值小于显著性水平α,则拒绝原假设,反之,则不拒绝原假设。
图12.5 “方差分析:无重复双因素分析”的对话框和输出结果
实操技巧
调用“数据分析”加载项中的“方差分析:无重复双因素方差分析”可以进行双因素因素方差分析。方差分析表中“行”显示的是基于行因素分割的多个总体均值是否相等的检验,“列”显示基于列因素分割的多个总体均值是否相等的检验。若p值小于显著性水平α,则拒绝原假设,反之,则不拒绝原假设。
实操技巧
单击“数据” →“数据分析” →“方差分析:可重复双因素方差分析”可以实现可重复双因素方差分析”。
在“方差分析:可重复双因素方差分析”对话框中,“在每一样本的行数”填入重复观测的次数。
可重复双因素方差分析针对行变量、列变量、以及交互作用进行了三组假设检验。若p值小于显著性水平α,则拒绝原假设,反之,则不拒绝原假设。
12.5.1 Levene检验的思想
12.5.2 Levene检验在Excel中的实现
表12.2 Levene检验的数据结构
图12.9 计算|x_ij- x ̅_j |
图12. 11 计算|x_ij-Median_j|
实操技巧
Levene检验可以对多个总体的方差是否相等进行检验。若数据呈正态分布,可以用基于均值的Levene检验,对|x_ij- x ̅_j |进行单因素方差分析。
若数据呈不对称分布,可以用基于中位数的Levene检验,对|x_ij- Median_j |进行单因素方差分析。
