2024-09-27
11.1 两个总体均值的比较:独立样本
两个总体的均值比较:配对样本
两个总体方差的比较
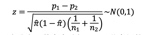
两个总体比例的比较
11.1.1 两个总体方差已知:z检验
11.1.2 两个总体方差相等:t检验
11.1.3 两个总体方差不等:t检验
图11.1 z检验的临界值和拒绝域
图11.2 两个总体方差已知的z检验的计算过程
Excel实操技巧
当两个总体标准差已知,比较两个总体均值的差异,可以调用“数据分析”工具下的“z检验:双样本平均差检验”,实现z检验的计算。
两个样本的数据需要排列在两行或者两列。
需要明确开展的是双侧检验还是单侧检验。双侧检验的p值报告在“P(Z<=z) 双尾”,单侧检验的p值报告在“P(Z<=z) 单尾”。
推荐使用p值法进行决策判断,若p值小于显著性水平α,则拒绝原假设;反之,则不拒绝原假设。
图11.7 两个总体方差相等的t检验的计算过程
Excel实操技巧
当两个总体的方差未知,假定两个总体的方差相等,若要比较两个总体的均值,可用“数据分析”工具中的 “t检验:双样本等方差假设” 实现t检验的计算。
Excel实操技巧
当两个总体标准差未知,假定两个总体的方差不等,若要比较两个总体的均值,可用“数据分析”工具中的 “t检验:双样本异常方差假设”开展t检验。
图11.12 “t检验:平均值的成对二样本分析”的对话框和输出结果
实操技巧
若要比较两个配对总体的均值,可用“数据分析”工具中的 “t检验:平均值的成对二样本分析”实现t检验的计算。
图11.13 两个总体方差的F检验的计算过程
实操技巧
若要比较两个总体的方差,可用“数据分析”工具中的 “F检验:双样本方差”实现F检验的计算。
图11.15 两个总体比例的z检验的计算过程
实操技巧
先计算出样本比例,合并样本比例,然后编辑公式计算z值。
